Soal:
Diketahui
Tentukan

Jawaban:
Dari yang diketahui, integralkan kedua ruas.

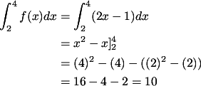
Fungsi f(x) telah diperoleh, langkah selanjutnya adalah menyelesaikan soal yang ditanyakan.

Oleh Opan
Dipostkan December 18, 2014
Seorang guru matematika yang hobi ngeblog dan menulis. Dari ketiganya terwujudlah website ini sebagai sarana berbagi pengetahuan yang saya miliki.